近日,中國科學院青島生物能源與過程研究所生物基及仿生高分子材料團隊負責人萬曉波等在二氮芳辛的合成機理研究以及由此衍生出的新型場效應晶體管材料合成方面取得階段性進展。
二氮芳辛是潛在的人工肌肉高分子材料的構筑基塊,一般可由2-氨基二苯甲酮通過傳統的縮合反應制備而得,但此過程需要長時間的回流和除水,并且產率受底物影響較大。此外,2-氨基二苯甲酮本身的制備方法比較繁瑣和昂貴,因而限制了二氮芳辛類分子的性能研究。
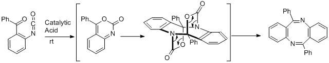
萬曉波團隊發現了一種關鍵反應步驟為2-酰基疊氮二苯甲酮在酸性條件下的合環反應的新型二氮芳辛合成方法,該反應不需要長時間的回流和除水,反應迅速,產率高。該工作發表在Organic Letters 上(Org. Lett., 2011, 13, 709-711)。
在此基礎上,通過對反應進行優化,發現該反應可在溫和(催化量的酸、室溫)條件下進行,通過對機理的深入研究,進一步修正了最初提出的反應機理,該工作發表在最新一期的Tetrahedron上(Tetrahedron, 2012, 68, 9665-9671)。

圖一. 二氮芳辛合成的優化及機理的修正
同時,該團隊還對二氮芳辛的潛在應用進行了有意義的拓展,發現從9,10-位氯代的二氮芳辛出發,在酸的輔助下用鋅粉還原,可成功地合成新型含吡咯并[3,2-b]吡咯的稠環化合物,該類化合物可作為有機小分子的場效應晶體管材料,也可以作為構筑基塊合成高分子場效應晶體管材料。該合成路線新穎,具有簡捷、產率高等特點,優于目前已有報道的吡咯并[2,3-b]吡咯合成方法,并能拓展到更大的共軛體系合成中去。
在中科院化學所劉云圻研究組的協助下,對所合成材料的場效應晶體管性能做了初步研究,發現相應的化合物是潛在的性能優良的場效應晶體管材料。相關工作發表在最近的Chemical Communication上(Chem. Commun., DOI:10.1039/C2CC36689D)。

圖二. 從氯代二氮芳辛一步法合成吡咯[2,3-b]并吡咯稠環化合物
原文鏈接:
1. 二氮芳辛的合成新方法:
http://pubs.acs.org/doi/pdf/10.1021/ol102957c
2. 二氮芳辛合成方法優化:
http://dx.doi.org/10.1016/j.tet.2012.09.050
3. 新型有機場效應晶體管材料:
http://pubs.rsc.org/en/content/articlepdf/2012/cc/c2cc36689d