傳統塑料主要來源于石油,且無法自然降解,易造成污染。用生物技術生產可降解塑料替代石油基塑料,可從根本上解決上述問題,已被列入國家優先發展的高技術產業化重點領域。聚3-羥基丙酸(P3HP)是一種具有廣闊發展前景的新型可降解塑料,具有良好的材料性能和廣泛的應用范圍,而目前已知的生物均不能天然合成聚3-羥基丙酸。
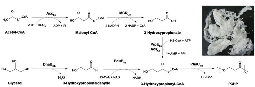
近日,中國科學院青島生物能源與過程研究所生物基化學品團隊在生物法合成聚3-羥基丙酸技術開發取得了一系列新進展。研究人員分別克隆了不同來源的聚3-羥基丙酸合成所需的酶基因,在大腸桿菌中表達純化了相關酶并比較它們的催化活性,選擇具有最高活性的酶基因組合構建了兩條合成聚3-羥基丙酸的代謝途徑,可利用葡萄糖、甘油等廉價可再生碳源生產聚3-羥基丙酸(圖1)。目前,聚3-羥基丙酸產量已達10.1 g/L,遠高于其它文獻報道的最高產量(1.4 g/L)。

圖1. 聚3-羥基丙酸(P3HP)及其合成途徑。
為進一步改善聚3-羥基丙酸的材料性能,研究人員還在其中摻入了3-羥基丁酸單體。利用兩種獨立的基因表達調控系統來分別控制3-羥基丙酸和3-羥基丁酸前體的相關合成基因,通過對合成基因表達強度的調節,實現了單體比例和結構完全可控的3-羥基丙酸與3-羥基丁酸共聚物合成,材料的熱力學性能和機械性能得到了明顯改善。
上述工作得到了中科院、科技部、國家自然科學基金委等單位項目支持。相關研究成果發表在Bioresour Technol、J Microbiol等雜志,并申請發明專利2項,建立了聚3-羥基丙酸合成關鍵技術包,為實現聚3-羥基丙酸的工業化發酵生產奠定了理論基礎。
論文鏈接:
1.Biosynthesis of poly(3-hydroxypropionate) from glycerol by recombinant Escherichia coli. Bioresour Technol, 2013, 131:548
http://www.sciencedirect.com/science/article/pii/S0960852413001193
2.Biosynthesis of Poly(3-hydroxypropionate-co-3-hydroxybutyrate) with fully controllable structures from glycerol. Bioresour Technol, 2013, 142:741
http://www.sciencedirect.com/science/article/pii/S0960852413009115
3.Biosynthetic pathway for poly(3-hydroxypropionate) in recombinant Escherichia coli. J Microbiol, 2012, 50(4): 693
http://link.springer.com/article/10.1007/s12275-012-2234-y
(生物基化學品團隊供稿)