甲基乙偶姻(3-甲基-3-羥基-2-丁酮)和2-甲基-2,3-丁二醇可用于生產有機溶劑、聚合物或醫藥中間體,其衍生物也具有重要的應用價值。目前傳統化學合成法生產甲基乙偶姻和2-甲基-2,3-丁二醇成本高、污染重,限制了其應用規模。而利用代謝工程微生生產方式,具有反應條件溫和、選擇性高、污染輕、成本低等多種優勢。
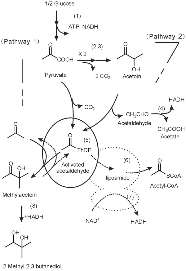
近日,中國科學院青島生物能源與過程研究所生物基化學品團隊在生物法合成甲基乙偶姻和2-甲基-2,3-丁二醇的研究中取得重要進展。由于在自然界中尚未發現兩種化合物完整的生物合成途徑, 因此,需要在微生物體內從頭設計和構建非天然的合成途徑。同時,為了使其成為具有經濟競爭力的理想生物合成途徑,需要具有較高的原子利用效率,并能夠以最少的步驟將中心代謝途徑的小分子進行縮合。該團隊對乙偶姻微生物降解途徑進行分析后,利用相關反應的可逆性,通過合成生物學手段突破反應熱力學限制,分別以丙酮和葡萄糖為原料構建了兩條甲基乙偶姻和2-甲基-2,3-丁二醇生物合成途徑(圖1),成功合成產出目標化合物。
上述工作得到科技部、國家自然科學基金委、中科院等單位支持,研究成果(Biodegradation-inspired bioproduction of methylacetoin and 2-methyl-2,3-butanediol)發表在Scientific Reports。
原文鏈接:
http://www.nature.com/srep/2013/130815/srep02445/full/srep02445.html

圖1: 甲基乙偶姻和2-甲基-2,3-丁二醇的生物合成途徑
(生物基化學品團隊供稿)