液相分離是一種常見的自然界現象,廣泛存在于冶金、材料、化工、食品等領域中。一些體系的組元(原子或分子)之間相互排斥,組元間混合焓為正,其相圖存在液相不混溶區域。均一液體冷卻進入液相不混溶區將分解成兩個互不相溶的液相,即發生液相分離。對合金材料而言,約1/5的二元體系具有液相分離特征,這些合金通稱為“液相分離合金”。它們在地面常規凝固條件下極易形成比重偏析嚴重、乃至兩相分層的組織。近年來,人們先后在空間和地面對液相分離合金凝固過程開展了大量實驗,并進行了深入的建模與模擬研究,發現液相分離過程是多種因素共同作用的結果,十分復雜。如能有效地控制液-液相分離的過程,不僅可以研制高性能相分離金屬復合材料,而且可以進行諸如電子廢棄物混合金屬資源的富集、分離與回收處理。
金屬所材料特種制備與加工研究部趙九洲課題組長期從事合金液相分離研究,近來何杰、江鴻翔等人在相分離合金凝固組織與相結構調控方面取得了新進展,主要包括:
1.基于Zr-RE (RE = Ce、La、Nd等) 液相分離合金系,利用原子間相互作用理論開展多元相分離合金設計,成功研制了Zr-RE-Al-Cu-Co塊體非晶復合材料,彌散相以微納米非晶粒子形式分布于非晶基體中(圖1a),揭示了該合金液-液相分離機理、組織演變規律及其控制途徑;提出了利用液-液相分離現象制備雙非晶相塊體合金材料的思路與合金設計方法(圖1b)。
2.基于以往對Cu-Fe亞穩液相分離合金的研究(Acta Materialia, 54: 1749(2006)),設計了新型內生高數量密度球形納米粒子的Cu-Fe-Al-Zr相分離塊體金屬玻璃材料(圖2a)。該材料展現出優異的壓縮塑性變形能力(圖2b)。研究發現,該相分離金屬材料在壓縮變形過程中,剪切帶內部的納米非晶粒子在劇烈剪切作用下逐漸溶解,剪切帶兩側相鄰區域的納米粒子發生Ostwald熟化(圖3、4)。這些非晶粒子作為記錄器(local internal recorder),清楚展現了塑性變形導致微結構的演化和剪切帶附近基體原子運動的增強;提出了剪切帶附近基體存在相對較厚的變形影響區域,相分離金屬玻璃材料優異的力學性能不僅源于剪切帶本身,而且還有其相鄰基體的貢獻。
3. 提出了利用脈沖電流來控制液相分離合金凝固組織過程、制備原位自生復合材料的方法(圖5),建立了脈沖電流作用下的液相分離合金的凝固模型。模擬與實驗相結合,深入研究了脈沖電流的作用下液相分離合金凝固組織形成過程,揭示了脈沖電流的影響機理(圖6)。研究表明,脈沖電流主要通過改變彌散相液滴形核能壘來影響液相分離合金凝固過程和組織(圖6),當彌散相液滴電導率大于基體熔體電導率時,脈沖電流能有效地促進彌散相液滴形核和細化,有利于彌散型液相分離合金復合凝固組織的獲得;當彌散相液滴電導率小于基體熔體電導率時,脈沖電流抑制彌散相液滴形核,促進彌散相液滴的粗化和兩液相的分離(圖5b)。
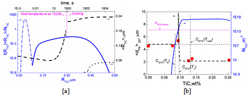
4. 提出了利用微量表面活性元素或微量金屬間化合物形成元素調控液相分離合金凝固過程與組織的方法(圖7),建立了微量元素作用下液相分離合金凝固模型。實驗與模擬相結合,揭示了微量元素的作用機理和添加量的確定原則。研究表明,對于Al-Bi、Al-Pb液相分離合金,TiC顆粒可做為富Bi、富Pb相液滴的異質形核基底,添加適量的Ti和C (或TiC)能大幅度提高其形核率,促進彌散型復合凝固組織的獲得(圖8)。
上述成果發表在Scientific Reports 6: 25832 (2016)、 Acta Materialia 61: 2102 (2013)、Scientific Reports 5: 12680 (2015)和Materials and Design 91: 361 (2016)等期刊上。研究工作得到了國家自然科學基金(51271185, 51471173, 51374194, 51574216, 51501207)和中國載人空間站工程(TGJZ800-2-RW024)的資助。

圖1 [a] Zr-RE-Al-Cu-Co相分離塊體非晶合金。白色和灰色分別表示為Ce基和Zr基非晶相;[b] 基于合金熱力學設計相分離非晶合金思路。

圖2 [a] (a-c) 不同Cu和Fe原子比的Cu-Fe-Al-Zr塊體非晶合金組織(Z1, Z2, Z3)和(d)相分離塊體非晶合金Z2中球形非晶粒子的尺寸分布;[b] 相分離非晶合金Z2樣品的壓縮變形。

圖3 [a] 相分離塊體非晶合金Z2樣品經~7%壓縮塑性變形后局部組織結構,(a1)、(a2)和(a3)分別為剪切帶、球形粒子和基體的FFT;[b] 剪切帶附近區域球形非晶粒子尺寸的2D統計。

圖4 相分離非晶合金剪切帶內部和毗鄰兩側區域的局部組織結構演化示意圖。

圖5 [a] 脈沖電流(ECP)作用下液相分離合金連續凝固示意圖;[b] 液相分離合金Bi80Cu10Sn10在(a)無ECP和(b)有ECP作用下的凝固組織,液相分離合金Cu50Bi25Sn25在(c)無ECP和(d)有ECP作用下的凝固組織。

圖6 脈沖電流作用下液相分離合金(a) Bi80Cu10Sn10和(b) Cu50Bi25Sn25定向凝固界面前沿彌散相液滴形核驅動力(DG)、形核率(I)及平均直徑(<D>)隨位置的變化曲線。

圖7 不同TiC顆粒添加量下TiC顆粒的動力學行為和Al-Pb合金液-液相變過程。(a)無添加;(b)0.126 wt.%TiC;(c)0.253wt.%TiC。

圖8 [a] Al-5%Pb-0.253wt%TiC合金熔體冷卻至液態組元互溶溫度時熔體內沉淀析出的TiC顆粒(藍色點虛線)和未溶解的TiC顆粒(藍色實線)的半徑(RTi)分布,沉淀析出的TiC顆粒(黑色點線)和未溶解TiC顆粒(黑色虛線)的平均半徑隨時間(time)的變化;[b]凝固樣品內富Pb相顆粒二維平均直徑(方塊或虛線)和冷卻至液態組元互溶溫度時合金熔體內TiC顆粒數量密度隨TiC添加量的變化。