近日,中國科學院海洋研究所海洋生物制品研究團隊在改造有機銅農藥方面取得新突破,合成了一系列結構新穎且具有顯著活性的新型大分子銅制劑——殼聚糖席夫堿銅復合物,部分樣品在低濃度下(200ppm)對辣椒疫霉病菌(Phytophthora capsici)抑制率可達100%,遠高于市售產品噻菌銅等銅制劑。相關研究成果在高分子科學期刊《Carbohydrate Polymers》發表。
波爾多液是一種具有上百年歷史的傳統農藥。1878年植物學家米拉德(Pierre-Marie-Alexis Millardet)在法國葡萄酒著名產地波爾多偶然發現由熟石灰與硫酸銅溶液混合配制而成的懸濁液可有效防治使葡萄大量減產的霉葉病。1885年他將研究成果公之于眾并推廣使用,大獲成功,從此波爾多地區變成了“葡萄園世界”,這種懸濁液也成為著名農藥——波爾多液,為全世界農業增產做出了巨大貢獻。但是這種無機銅制劑長期使用缺點明顯:由于其呈堿性,不能與其他酸性農藥混用;硫酸銅有毒,易產生藥害;貯存和使用不方便,只能現用現配、不能用金屬容器貯存等。許多科學家一直試圖研發有機銅制劑替代品,但進展不大。
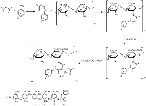
該論文闡明了殼聚糖席夫堿銅復合物離子絡合方式及構效關系并對抑菌機理做了探討,設計合成了一種水溶性大分子殼聚糖席夫堿及其銅復合物,通過結構計算以及光譜表征發現,銅復合物中殼聚糖長鏈側基中苯環與碳氮p- 共軛集團形成了大 鍵,而不同的苯環取代基所帶來的空間位阻導致銅離子與大 鍵中的碳原子形成了配位鍵。空間位阻還會影響大 鍵的內角角度,從而影響共軛效果,較大的內角角度會降低配位鍵的鍵能,提高銅離子的釋放效果,進而顯著增強抑菌效果。由于該類銅復合物為有機螯合態含銅殺菌劑,相比傳統含銅殺菌劑具有作用效果快速直接、不易產生藥害、穩定性好、易儲存等優點,有望被開發為新一代有機銅殺菌劑。該研究使用的化合物表征方法為大分子有機金屬配合物的結構分析提供了一個新的研究方向,也為傳統農藥改造提供了新的思路。
本研究得到了國家自然科學基金項目和青島海洋科學技術國家實驗室項目資助,李鵬程研究員為文章通訊作者。該成果已獲得兩項國家發明專利授權。
文章鏈接:doi: 10.1016/j.carbpol.2016.12.040

圖1 中科院海洋所在利用海洋生物多糖改造傳統農藥方面獲得突破

圖2 合成路線