光催化技術在能源利用、環境保護等領域都具有廣闊的應用前景。光催化過程可大致劃分為光能吸收、光生電荷分離和表面反應三個主要步驟,其中光生電荷能否有效分離直接制約著整個光催化過程的效率。通過材料設計為光生電荷的遷移提供足夠的驅動力,可以有效提高光生電荷分離效率,增強材料的光催化效率。近年來,極性光催化材料研究得到了迅速發展。由于其正負電荷中心不重合,極性光催化材料自身的內建電場為光生電子與空穴的分離提供了驅動力,從而可能獲得高效光催化能力。
在眾多光催化材料中,Aurivillius型氧化物由于具有合適的能帶位置和豐富的元素組成,近年來引起了科研工作者的關注。通常情況下,Aurivillius型氧化物材料指的是Bi系二元金屬氧化物層狀鈣鈦礦結構材料,由[MO6]2-鈣鈦礦片層(M代表其他金屬元素)和[Bi2O2]2+螢石片層交替排列堆疊形成。Aurivillius型氧化物是一種極性材料,有利于光生電子與空穴的分離;而其層狀堆疊的結合方式使其晶格易于在堆疊方向發生變形,為其自身內建電場的調控與光催化效率的提升帶來可能。
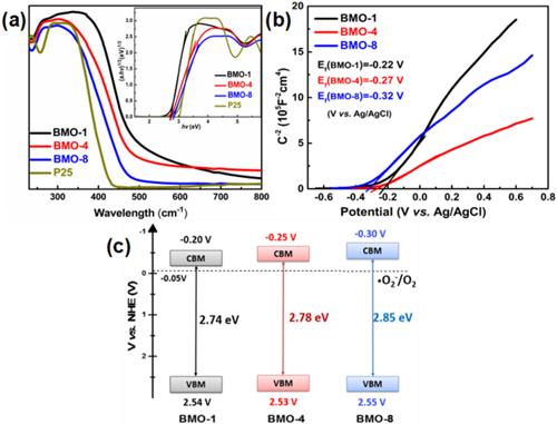
金屬所沈陽材料科學國家(聯合)實驗室環境功能材料研究部李琦研究員最近提出,晶格調控可能成為一種增強極性光催化材料性能的新思路。在可見光光催化材料Bi2MoO6研究中,李琦研究員及其研究團隊發現通過改變Aurivillius型光催化材料極性方向的晶格常數,材料的光催化性能能夠得到顯著增強。他們與北京航空航天大學祝令剛博士合作,通過DFT理論計算預測了Bi2MoO6極性方向晶格常數b的變化對材料偶極矩的調控規律。由于Bi2MoO6晶體晶格常數b的變化同時會帶來晶格原子相對位置的弛豫,因而與直觀感受相反,極性方向晶格常數b的減少反而會導致Bi2MoO6的偶極距增大,增強其極性,提高其內建電場強度。通過在溶劑熱合成過程中調整反應溶液pH值,控制鉍離子與鉬離子在成核、聚合以及脫水結合過程中的結晶行為,他們成功降低了Bi2MoO6的晶格常數b值,獲得了一系列具有不同晶格常數b值的Bi2MoO6納米光催化材料。二次諧波測試(SHG測試)結果證實,晶格常數b值越小,Bi2MoO6材料的極性越大,也就越有利于光生電荷的分離。光電測試的相關結果進一步表明,該系列Bi2MoO6納米光催化材料的光生電荷分離效率隨著其晶格常數b值的減少而提高。選取水中常見的模型污染物抗生素、苯酚以及金黃色葡萄球菌進行光催化凈化測試,結果也呈現出與光電測試一致的規律,即材料對這些模型污染物的光催化凈化效率隨著晶格常數b值的減少而增強。此項研究工作表明,晶格調控能夠有效影響極性光催化材料的極性強弱,從而增強極性光催化材料性能。這為高效層狀極性光催化材料的設計提供了新的思路,有望獲得廣泛應用。相關研究結果發表在ChemSusChem(http://dx.doi.org/10.1002/cssc.201800180)。
該項研究工作得到了國家自然科學基金、沈陽材料科學國家(聯合)實驗室基礎前沿創新項目以及山東省自然科學基金的支持。

圖1. (a)Bi2MoO6晶格結構示意圖;(b)Bi2MoO6極性方向晶格常數b的變化對材料偶極矩影響的DFT理論計算結果。

圖2. Bi2MoO6系列樣品的(a)光吸收特性、(b)Mott-Schottky圖與(c)能帶結構。

圖3. Bi2MoO6系列樣品的(a)二次諧波測試(SHG測試)結果、(b)光電流響應測試結果、(c)電化學阻抗測試結果與(d)IPCE測試結果。

圖4. Bi2MoO6系列樣品的(a)抗生素、(b)苯酚與(c)金黃色葡萄球菌可見光光催化凈化效果。