金屬所催化材料研究部劉洪陽副研究員和博士研究生黃飛等人組成的納米碳材料負載金屬催化劑研究小組與北京大學馬丁教授合作,通過調控金屬鈀(Pd)原子與碳載體之間的相互作用,在納米金剛石/石墨烯碳載體上制備出原子級分散的單位點Pd催化劑,進一步的研發發現該催化劑在催化乙炔高效選擇性加氫應用中作用顯著。9月24日,《美國化學會志》(Journal of the American Chemical Society, IF=14.7) 在線發表了該項研究成果(DOI:10.1021/jacs.8b07476),該工作并選為封面文章。
乙炔選擇性氫化是工業生產高分子聚合物過程中的重要反應之一。如何選擇性將乙炔加氫到乙烯,而避免乙烯進一步氫化到乙烷,是這一反應需要解決的主要問題。負載型Pd催化劑具有很高的乙炔加氫反應活性,但乙烯選擇性很低。目前工業上廣泛使用的加氫催化劑是經過適當修飾的Pd基催化劑,但仍然存在Pd的原子利用率較低等問題。因此,設計開發兼具高活性,高穩定性和經濟實用的加氫催化劑具有重要意義。
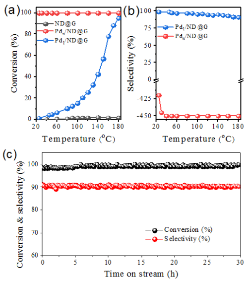
劉洪陽副研究員帶領的研究小組致力于新型納米碳材料負載金屬催化劑的研究。經過多年的學術積累,首次利用納米金剛石/石墨烯復合核殼材料(ND@G)為載體,制備出一種原子級分散高選擇性乙炔加氫Pd基催化劑(圖1)。通過球差電鏡表征(圖2)并結合X射線吸收譜表征(圖3),證實了Pd在碳載體上的原子級分散形式以及局域配位環境中的電子結構和化學成鍵??紤]到實際反應體系中氫的參與和結構的穩定性,他們構建了Pd原子與碳載體三配位成鍵的結構模型,研究了乙炔在此位點的氫化反應機制。利用密度泛函理論(DFT)模擬計算表明,具有單原子Pd活性位點的催化劑,在乙炔氫化反應中,更有利于反應產物乙烯的脫附,進而抑制乙烯進一步加氫反應的進行(圖4)。該項研究為開發新型高效選擇性加氫催化劑提供了新思路。
上述工作得到了國家基金委面上項目、國家基金委“碳基能源轉化”重大研究計劃培育項目、科技部重點研發計劃“納米專項”青年科學家項目、中科院青年促進會、中科院金屬所和中石化企業項目的支持,以及上海同步輻射光源提供的大力支持。

圖 1 催化劑Pdn/ND@G和Pd1/ND@G乙炔加氫反應隨溫度轉化率(a),選擇性(b)及Pd1/ND@G在180oC催化穩定性(反應條件:1% 乙炔, 10% 氫氣, 20% 乙烯混合氣,氦氣平衡; 空速(GHSV) = 60000 h-1)

圖2 Pd1/ND@G 球差電鏡STEM圖像

圖3 (a) 鈀X射線吸收近邊結構譜圖;(b) 傅里葉變換后R空間徑向結構函數;(c, d) Pdn/ND@G和Pd1/ND@G的鈀EXAFS振蕩小波變換;(d) 最優結構模型圖

圖 4 Pd1/ND@G催化劑上乙炔加氫反應中間態及能量變化曲線
