近日,中國科學院大連化學物理研究所研究員金玉奇、研究員李剛等與新加坡南洋理工大學教授于霆和復旦大學教授叢春曉合作,在二硫化鎢谷極化特性研究方面取得新進展,相關研究成果以內封面文章形式在英國皇家化學學會出版社的Nanoscale Horizons雜志上發表。

大連化物所在二維材料谷極化特性研究方面取得新進展
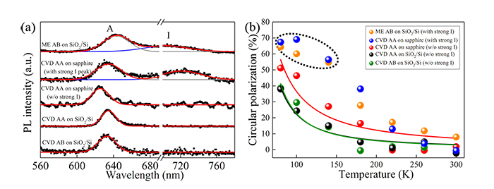
利用能谷自由度作為信息載體的谷電子學近年來吸引了科研人員的廣泛關注,其在谷電子學器件領域具有潛在應用前景。控制電子在不同能谷中的數量,進而產生谷極化是制成谷電子學器件的先決條件,因此探索具有魯棒性谷極化特性的材料成為該領域的研究熱點。原子層薄的二硫化鎢中,導帶和價帶邊緣均具有兩個能量簡并的谷,是一種實現谷電子學的潛在材料。對于單層二硫化鎢,科研人員已掌握其反演非對稱性所導致的與能谷相關的光學選擇定則;對于具有可調的層間耦合作用的雙層二硫化鎢,其不但具有穩定的谷極化特性,而且反演對稱的雙層二硫化鎢還具有比單層二硫化鎢高的谷極化值。然而,科研人員對于雙層二硫化鎢中魯棒性谷極化特性的準確機理的認識仍十分有限,這極大地限制了二硫化鎢在谷電子學器件中的應用。
該團隊對不同襯底上具有不同層間堆垛結構的雙層二硫化鎢樣品進行了系統的變溫圓偏振光致發光光譜研究,并首次報道了間接帶隙發光峰強度與谷極化特性的關系。研究表明,聲學模對于能谷極化過程起到了重要作用,這類振動模式在間接帶隙躍遷過程中的消耗促成了雙層二硫化鎢中的顯著谷極化特性。本工作中觀察到的通過層間距可調的能谷極化特性,闡明了電聲耦合在谷間散射過程中的重要作用,進而為未來開發基于二維材料的谷電子學器件具有科學指導意義。

大連化物所在二維材料谷極化特性研究方面取得新進展
該工作得到了中國博士后科學基金面上項目、中科院重點實驗室創新基金項目和大連化物所優秀博士后基金項目的資助。