納米金屬的晶界在機械變形作用下容易發生晶界遷移并伴隨晶粒長大,使得納米材料發生軟化,這種現象在拉伸、壓縮、壓痕等變形條件下均有大量實驗和相關計算模擬結果的報道。機械驅動晶界遷移不僅破壞材料的性能,也給利用塑性變形法制備納米晶帶來巨大困難。盡管目前對于機械驅動晶界遷移的根本機制還存在爭議,但相關模型和計算模擬均表明機械驅動晶界遷移伴隨著明顯的晶界區原子重組和位錯運動,這說明該過程與晶界狀態有密切關系。一般認為,力作用下的晶界遷移速率與晶界能、晶界的曲率、晶界上的有效臺階等相關。晶粒尺寸越小,晶界曲率越大,遷移速率加快。
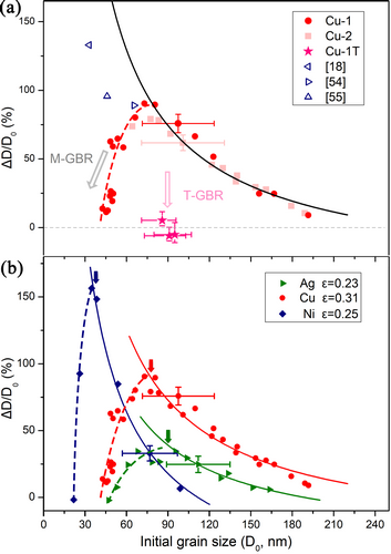
最近,金屬所沈陽材料科學國家研究中心、“萬人計劃”科學家工作室盧柯院士、李秀艷研究員在這一問題上取得新的進展。他們發現對于塑性變形制備的納米晶Cu、Ag、Ni樣品,準靜態拉伸變形時,隨著晶粒尺寸從亞微米減小至納米量級,晶界遷移先逐漸增強,而當晶粒尺寸小于臨界值時,晶界遷移逐漸受到抑制,這一結果顛覆了傳統的認識,與其在納米晶熱穩定性晶粒尺寸反常效應的相關發現一致。對于Cu、Ag、Ni而言,實驗中臨界晶粒尺寸分別約為75、80、38nm。研究表明臨界尺寸以下納米晶在塑性變形過程中其晶界容易發生應變誘導晶界馳豫,而這種晶界馳豫抑制了晶界遷移行為,使得納米晶變形機制由晶界遷移逐漸轉變為不全位錯運動形成變形孿晶或層錯為主導,納米晶機械穩定性增強。該研究還發現,采用合適退火工藝對Cu中臨界尺寸附近未發生機械馳豫的納米晶進行熱處理,使其晶界發生熱馳豫,同時保持晶粒尺寸基本穩定,在后續進一步拉伸變形過程中其晶界遷移明顯受到抑制,晶粒表現出更高的機械穩定性。
該發現說明與晶界偏聚效應類似,晶粒尺寸相關的晶界馳豫效應能明顯對機械驅動晶界遷移起到抑制作用,這為提高納米晶機械穩定性提供了新的方法,同時也為發展納米晶制備工藝提供了重要參考。
該研究得到科技部納米科技重點專項和國家自然基金資助。于3月29日Physical Review Letters雜志在線發表。

圖(a) 純Cu相對晶粒尺寸變化率(
)隨初始平均晶粒尺寸(
)變化關系,M-GBR和T-GBR分別表示機械誘導和熱處理誘導晶界馳豫效應。(b)表面機械碾磨技術制備純Ag、Cu、Ni樣品相對晶粒尺寸變化率(
)隨初始平均晶粒尺寸(
)變化關系。