長期以來,沙丘生態系統植被恢復受到生態學者的廣泛關注。作為沙丘生態系統中最重要的非生物因子,風蝕和沙埋改變了土壤環境條件,進而影響植物更新和植被演替。沙區強烈的風蝕和沙埋往往造成種子吹失或幼苗深埋,限制了種子對種群補充的有效性。沙丘體芽庫著生的克隆生長器官及其形成的無性系分株在迅速吸收有限資源的同時,可利用本身貯藏的資源,實現種群空間拓殖。因此,以芽庫為基礎的營養繁殖在沙丘植被發育中占據絕對優勢。然而迄今為止,地下芽庫如何響應沙區風沙活動以及地下芽庫在其種群更新和植被恢復中的作用研究甚少。
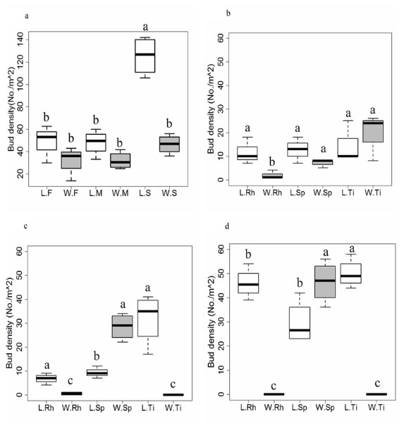
鑒于此,荒漠化防治組在烏蘭敖都試驗站選擇三個沙丘類型(流動、半固定、固定沙丘),五個沙丘位置(丘間地、過渡帶、坡底、坡中、坡上),和兩個坡面(迎風坡、背風坡):沙丘類型作為干擾梯度(由固定沙丘到流動沙丘風沙干擾逐漸增強),沙丘坡面作為不同干擾類型(迎風坡風蝕為主、背風坡沙埋為主),沙丘位置作為水分脅迫梯度(有沙丘底部到沙丘頂部說分脅迫逐漸增強)(圖1)。本研究采用R中的線性回歸方程(Linear regression equations,Y=ax+b)和線性混合效應模型(Linear mixed effect models, Y= [ 0aspect] fixed + [ type]random)來探討風沙干擾和水分脅迫如何作用沙丘生態系統的芽庫繁殖力,假設:根蘗芽在干擾生境中占優勢,分蘗芽在脅迫生境中占優勢。結果顯示:1)不同芽庫類型對干擾和脅迫顯示出不同的適應策略(圖2):根蘗芽更適于風沙干擾生境(脅迫忍耐型雜草策略),分蘗芽更適于沙埋干擾生境和低水分脅迫生境(雜草策略),根莖芽對水分脅迫更敏感并且適于較低干擾強度(競爭型策略);2)中等程度干擾和脅迫生境的植物比其他生境產生更多的芽。因此芽庫生存策略和表型響應可以作為分析種群繁殖的指示物,在沙丘管理予以深思。
相關研究結果以“Responses of belowground bud bank to disturbance and stress in the sand dune ecosystem”為題發表于Ecological Indicators 雜志(IF 4.49)。荒漠化防治組助研馬群為第一作者,劉志民研究員為通訊作者。

圖1. 沙丘干擾、脅迫類型與芽庫類型

圖2.不同芽庫類型對干擾和脅迫的適應策略