
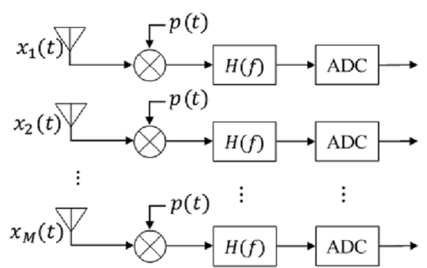
多天線壓縮采樣系統

不同空-時信息利用方式獲得的樣本協方差矩陣

近日,中國科學院沈陽自動化研究所科研團隊提出了利用MIMO系統空-時信息的高感知性能的寬帶頻譜感知方法,并且首次給出了壓縮采樣系統參數與系統輸出噪聲的關系,相關成果于近日陸續獲通信領域國際著名期刊IEEE Transactions on Vehicular Technology和IEEE ACCESS刊載。
近年來,無線通信設備及服務的大規模增長導致可用無線頻譜資源的日益緊缺,寬帶頻譜感知為無線設備利用未被使用的頻譜資源,從而增加設備和服務接入量以及提高頻譜效率提供了一個可行的解決方案。此外,采樣器件面臨高采樣率等難以突破的技術瓶頸,會導致對寬帶信號采樣面臨樣本精度低、設備高功耗大等問題。因此,研究無線通信設備的寬帶頻譜感知與壓縮采樣技術對未來無線通信具有重要意義。盡管相關研究已取得較大進展,然而寬帶頻譜感知技術面臨低信噪比條件下感知性能差,壓縮采樣系統面臨系統參數與其輸出噪聲關系未知等關鍵問題。
沈陽自動化所工業通信與片上系統團隊針對低信噪比條件下感知性能差等問題提出了引入空間差異性的MIMO系統高性能寬帶頻譜感知方法,通過對空-時信息的不同利用方式得到樣本協方差矩陣,進而采用子空間分解方式獲取低維信號子空間以實現對頻譜信號的增強式感知,該成果為實現認知無線電以及下一代無線通信中高可靠頻譜感知提供了有效方法。此外,針對壓縮采樣系統參數與系統輸出噪聲關系未知等問題,團隊進一步給出了壓縮采樣系統輸出噪聲的性質以及輸出噪聲與系統參數的關系,所得結果可用于眾多基于壓縮采樣的應用場景中,該研究成果為推動設備實現低功耗目標奠定了理論研究基礎。相關成果分別以Compressive subspace learning based wideband spectrum sensing for multiantenna cognitive radio和Property investigation on the additive white Gaussian noise after sub-Nyquist sampling為題發表學術論文。(工業控制網絡與系統研究室)