
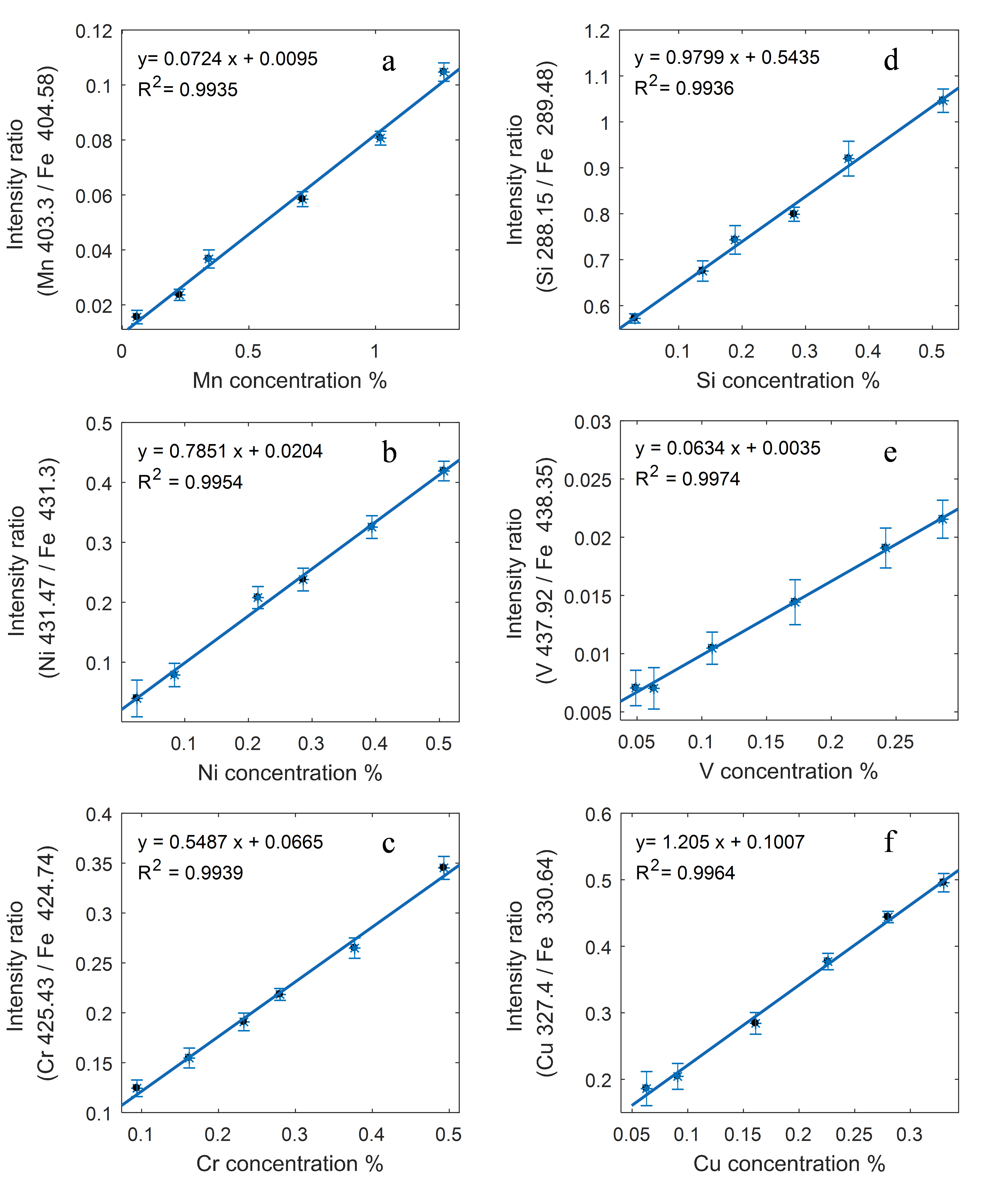
混合粗糙度樣品情況下,各元素定量分析結果
近日,中國科學院沈陽自動化研究所在激光誘導擊穿光譜(LIBS)領域取得新進展。針對金屬工件表面產生的“刮痕”對其組成成分分析可能帶來的影響,在對工件表面無損檢測的情況下,提出了一種減小粗糙度對LIBS定量分析影響的有效方案,并實現了對碳鋼中Cr, Cu, Mn等元素的高精度定量分析。
金屬工件在使用過程中不可避免的相互摩擦,使得表面粗糙度增大,而傳統的無損檢測方法需要復雜的樣品前處理,檢測速度慢,且無法實現原位檢測,而LIBS技術能彌補其不足。沈陽自動化所LIBS團隊對樣品表面粗糙度在0.03-0.5 m之間的6塊碳鋼進行了掃描分析。在激光燒蝕彈坑約10 m的情況下,通過優化在不同粗糙度樣品下采集光譜時燒蝕彈坑的重疊率,該研究發現當激光燒蝕彈坑重疊率為75%時,光譜穩定性最好。且在混合粗糙度樣品的情況下進行定量分析時,采用一次函數對于對碳鋼中Cr, Cu, Mn等元素進行擬合,所得的擬合曲線的決定系數都高于0.993。該結果表明,LIBS無損檢測方法能直接對樣品表面粗糙度不同的樣品進行分析。相關成果已發表在Journal of Analytical Atomic Spectrometry期刊上。
近年來,圍繞工業產品在線檢測的需求,沈陽自動化所致力于金屬冶煉、選礦等行業的元素成分在線分析的研究,并研發了多款LIBS在線檢測產品。(工業控制網絡與系統研究室)