(左)太平洋深層經向翻轉環流上、下兩個分支(U-PMOC和L-PMOC)從南極繞極流起源后進入西太平洋的大致路徑,黑色方框表示雅浦-馬里亞納海溝連接區深水通道;
(右)U-PMOC和L-PMOC入侵雅浦-馬里亞納海溝連接區的季節性(右上:12-5月;右下:6-11月)路徑
雅浦-馬里亞納海溝連接區是深層經向翻轉環流進入西太平洋的關鍵要塞通道,王凡研究團隊在這一區域開展了長期的潛標觀測。基于上述數據,團隊發現深層經向翻轉環流上下兩個分支(L-PMOC和U-PMOC)具有顯著的季節變化:位于通道西側3800-4200米北向的L-PMOC在12月至次年5月流速較強,可達20 cm s-1,6月至11月,流速較弱,且在通道東側4000米以深存在南向的L-PMOC回流,其具有和L-PMOC一樣的季節位相,但強度相對較弱;而位于通道東側3000-3800米南向的U-PMOC,其季節位相與L-PMOC相反,即12月至次年5月,流速較弱,6月至11月,流速較強。L-PMOC和U-PMOC的季節變化分別伴隨著上層繞極深層水(UCPW)和下層繞極深層水(LCPW)的季節性入侵。

2016-2017年不同深度流速矢量的變化,其中藍色和紅色分別代表通道西側和東側潛標結果,數字表示流速矢量的平均深度以及經向流速年調和分析的解釋方差
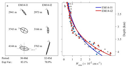
流和溫度振幅的垂向分布符合地形羅斯貝波特征
除季節變化外,團隊還發現該深水通道3000米以深的深層流和溫度存在顯著的30-90天季節內變化特征,而且季節內變化強度隨深度增加,在4200米深度上觀測到的流速和等溫線垂向振幅可分別達45 cm s-1和600米。經過深入分析,團隊揭示了上述季節內深層強化現象是由地形羅斯貝波引起,深層流速和溫度變化振幅的垂向結構特征符合地形羅斯貝波的特性。結合模式數據,團隊進一步討論了該深水通道地形羅斯貝波的產生機制,其主要包括兩個過程,一是表層的強渦旋通過位渦調整激發產生地形羅斯貝波;二是大尺度平均流的正壓和斜壓不穩定激發產生地形羅斯貝波。
上述研究成果發表在地球物理研究雜志《Journal of Geophysical Research: Oceans》,得到了國家自然科學基金委西太平洋地球系統多圈層相互作用重大研究計劃重點項目、中國科學院戰略性先導科技專項等的支持。
相關成果及鏈接如下:
Jianing Wang, Qiang Ma, Fan Wang*, Youyu Lu, and Larry J. Pratt, Seasonal variation of the deep limb of the Pacific meridional overturning circulation at Yap‐Mariana Junction, Journal of Geophysical Research: Oceans, 2020, 125, https://doi.org/10.1029/2019JC016017.
https://agupubs.onlinelibrary.wiley.com/doi/full/10.1029/2019JC016017
Qiang Ma, Fan Wang*, Jianing Wang*, and Yilong Lyu, Intensified deep ocean variability induced by topographic rossby waves at the Pacific Yap‐Mariana Junction, Journal of Geophysical Research: Oceans, 2019, 124, 8360-8374.
https://agupubs.onlinelibrary.wiley.com/doi/full/10.1029/2019JC015490