近日,中國科學院大連化學物理研究所催化基礎國家重點實驗室理論催化創新特區研究組研究員肖建平團隊與浙江大學肖豐收教授、王亮研究員團隊合作,在乙烷非氧化脫氫制乙烯的研究中取得新進展。
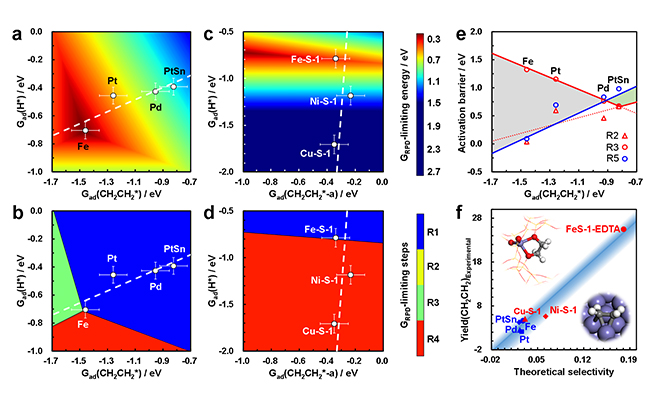
乙烯和丙烯等低碳烯烴是現代化學工業的重要原料。通過低碳烷烴脫氫,有望實現頁巖氣直接生產低碳烯烴,具有重要的研究價值。金屬鐵(Fe)催化劑曾被用于非氧化脫氫反應,但其存在積碳嚴重的問題。而通過分子篩S-1改性的Fe-S-1,在非氧化脫氫反應中表現出較好的活性和抗積碳能力。因此,理解Fe和Fe-S-1的差異,以及從理論上統一金屬和分子篩催化劑的不同機理非常重要。

大連化物所實現乙烷非氧化脫氫制乙烯機理的模型統一
本工作通過研究兩個維度的描述符(*C2H4和*H的吸附自由能),構建了反應相圖,統一了Fe和Fe-S-1催化劑不同的反應機理。研究發現,金屬催化劑Pt、Pd和PtSn的本征活性(轉化率)受反應第一步乙烷脫氫(R1)的限制,而Fe位于R1、R3(乙烯脫附)和R4(氫氣脫附)的交點處,即Fe的催化性能會受到上述三個步驟的同時影響。對于沸石S-1改性的催化劑,Ni-S-1和Cu-S-1的速率限制步驟是R4,而Fe-S-1恰好位于R1和R4的交界處,其相對較弱的H*吸附使得更容易生成氫氣和脫附。該工作通過微觀動力學模型從理論上統一了金屬和分子篩體系的反應收率,為非氧化脫氫反應催化劑的設計提供了新的方向。
相關成果發表在《美國化學會志》(J. Am. Chem. Soc.)上。該工作得到了國家自然科學基金、中科院先導B項目和遼寧省“興遼英才計劃”等研究經費的支持。