活性氮通過大氣沉降的方式進入森林生態系統,可以有效地緩解地上植被的氮限制,促進植物生長,增加植物生物量。但是過多的氮素則可能引起土壤pH下降,導致土壤養分失衡,破壞生態系統的穩定性。目前對氮沉降如何影響地上植物的生長、多樣性以及群落結構等有比較多的認知,但是土壤微生物的多樣性和養分利用效率如何響應氮增加還不是十分清楚。
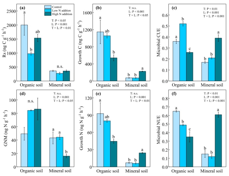
中國科學院沈陽應用生態研究所生物地球化學組,依托在長白山闊葉紅松林建立的氮沉降模擬平臺,利用氧同位素標記技術分析了施氮對土壤微生物碳利用效率(CUE)和氮利用效率(NUE)的影響,發現土壤微生物CUE和NUE對氮添加的響應受氮添加量和土壤深度的影響,并沒有明顯的變化規律(圖1);微生物CUE與NUE兩者呈現非線性相關,拐點出現在CUE=0.4處(圖2);回歸分析顯示,微生物群落結構的變化和磷元素化學計量比是影響微生物養分利用效率的主要因子。研究結果表明氮沉降引起的土壤磷素匱乏可能會改變微生物的功能以便維持群落的穩定。
但是,施氮引起土壤磷素化學計量比失衡是如何改變微生物群落結構及潛在的機制是什么,目前還不清楚。因此,研究團隊利用長白山闊葉紅松林建立的模擬氮磷增加平臺,利用高通量測序技術對施氮、施磷和氮磷混施樣地的土壤微生物群落和功能進行分析,結果發現:氮添加降低了有機層土壤微生物多樣性,而磷添加則有效減輕了這種影響;氮添加影響細菌真菌的代謝功能潛力,降低有機層土壤的碳固持,而磷添加可以緩解或改變氮添加對有機層土壤微生物功能潛力的影響(圖3)。研究結果闡明了氮素和磷素調節溫帶森林土壤微生物群落結構和功能的機理。
研究成果以“Stoichiometric imbalance and microbial community regulate microbial elements use efficiencies under nitrogen addition” 和 “Phosphorus reduces negative effects of nitrogen addition on soil microbial communities and functions”為題分別發表在Soil Biology & Biochemistry(IF=5.795)和Microorganisms(IF=4.152)期刊上,王超副研究員為兩篇文章的通訊作者,碩士生李靜和夏宗偉助理研究員分別為兩篇文章的第一作者。研究得到基金委重點項目、中科院0-1項目和青促會項目的資助。

圖1. 氮沉降影響微生物生長、礦化和養分利用效率

圖2. 不同氮添加處理下微生物碳利用效率和氮利用效率關系

圖3. 氮磷添加對土壤細菌群落功能的影響