全氟及多氟烷基化合物(PFAS)由于具有疏水疏油性、高表面活性、化學和熱穩定性等特殊的化學性質被廣泛應用于工業生產和生活中。某些PFAS具有環境持久性、生物累積性和毒性以及長距離遷移潛力,而被列入持久性有機污染物(POPs)清單中,其生產和使用受到管控,因而新型替代品不斷涌現。全氟聚醚羧酸(PFECAs)是一類典型的新型替代品,人們通過向PFAS的碳鏈骨架中添加一個或多個醚氧基而認為其在環境中更容易降解,希冀其對環境的持久損害更小。但目前對于這些新型替代品在環境中的行為與毒性效應缺乏研究與認識。小清河是我國PFAS污染比較嚴重的區域,受上游氟工業源的影響,小清河和萊州灣水體中的PFAS濃度在國內處于較高水平。然而目前對于新型的PFECAs在河口區污染狀況及風險尚不清楚,也缺乏其生物富集和食物鏈傳遞規律的研究。

圖1 小清河河口不同樣品中傳統與新型PFAS的分布和組成(注:橫坐標括號中數字為每類樣品的數量)
本研究在受工業污染較重的小清河口采集了水、沉積物和浮游生物、底棲動物和游泳動物在內的食物網樣品,分析了新型及傳統全氟化合物的生物富集特征及食物鏈傳遞規律,評估了當地居民攝入魚、蝦、螺、貝等主要海產品的健康風險。小清河河口水體和沉積物中以全氟辛酸(PFOA)、全氟2-甲氧基乙酸(PFMOAA)、全氟-3,5-二氧雜己酸(PFO2HxA)和六氟環氧丙烷三聚體羧酸(HFPO-TrA)為主要污染物(圖1)。。生物體內∑PFAS的濃度排序為:腹足類 > 雙殼類 > 甲殼類 > 魚類 > 浮游生物,這可能與生物的食性、生物累積能力、棲息環境和生理狀態的差異以及體內代謝轉化有關。底棲無脊椎動物主要富集短鏈PFAS(PFOA、PFMOAA和PFBA),而魚體內以長鏈PFAS(HFPO-TrA、 HFPO-TeA、PFO5DoA和PFOS)為主。

圖2 水生生物中PFAS的生物富集因子與其碳鏈長度的關系
通過分析PFAS的生物富集因子,發現對于PFECAs(從PFMOAA到PFO4DA),隨著碳鏈長度和醚氧基團的增加,log BAF值呈下降趨勢,然后到PFO5DoA又呈上升趨勢(圖2)。在只含有一個醚氧基的PFECAs同系物(PFMOAA、PF4OPeA和PF5OHxA)中也發現了類似的結果:log BAF值隨碳鏈長度的增加呈現先減小后升高的趨勢。對于C4-C7的全氟羧酸(PFCAs),生物體的log BAF值隨著碳鏈長度的增加而降低,然而對于C8-C12 PFCAs則隨著碳鏈長度的增加呈線性增加趨勢,在PFDoDA達到峰值。這一發現表明全氟烷基鏈長度和官能團可能會影響PFECAs的生物累積。
一些無脊椎動物因其廣泛的分布和較高的生物蓄積性常被用作反映水環境污染狀況的指示生物。扁玉螺生活在淺海潮間帶至泥沙質海底,是我國沿海地區重要而豐富的經濟腹足類,高蛋白、低脂肪,被沿海居民廣泛喜愛食用。本研究中提出扁玉螺可以作為PFMOAA良好的指示生物指示水環境中PFAS的污染狀況的觀點,因為1)扁玉螺在中國沿海地區分布廣泛,容易被捕獲;2)對PFMOAA具有極高的生物蓄積能力。

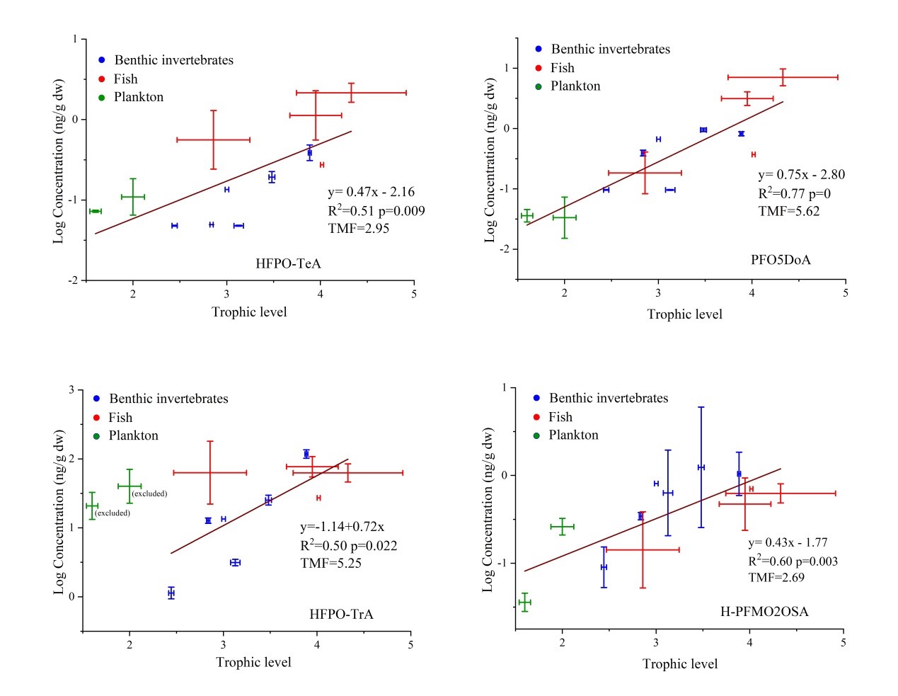
圖3 小清河河口食物網PFAS濃度與營養級之間的關系
對PFAS的在河口食物網不同營養級生物間的傳遞規律研究表明:長鏈PFECAs(HFPO-TrA、HFPO-TeA、PFO5DoA)在生物體中的濃度隨著營養級的增加而呈線性增加的趨勢,表現出生物放大特性(圖3);對于一些短鏈物質如PFMOAA、PFO2HxA和PFBA,在營養級相對較高的魚類中濃度較低,但在營養級較低的軟體動物中卻濃度比較高,在生物體中的濃度隨著營養級的增加而降低,表現出生物稀釋效應。
對于當地沿海居民,水產品是重要的蛋白質來源,膳食攝入是人體暴露PFAS的主要途徑。PFOA的人均日攝入量估算值(EDI)比歐洲食品安全局(EFSA)2018年建議的ADI值高出近20倍。此外,對于四種PFAS(PFOA, PFNA, PFHxS和PFOS)的周攝入量估計值(EWI)45.0 ng/kg bw/w是EFSA的可接受周攝入量(TWI)(4.4 ng/kg bw/w)的10倍以上。因此表明小清河河口這四種PFAS可能對當地居民構成了一定的健康風險,而且PFMOAA的較高EDI值也值得關注。
研究表明,小清河河口生態系統中PFAS普遍檢出。已被列入POPs清單中PFOA仍然是最主要的污染物,但與此同時PFOA的新型替代品PFECAs也被廣泛檢出。風險分析表明PFOA等全氟羧酸已經對當地居民通過膳食攝入帶來了一定的健康風險。尤其是短鏈的PFMOAA,能在扁玉螺中特異性富集,成為底棲無脊椎動物中的最主要的PFAS,其生態毒理效應和環境風險更應該引起科研機構、工業界和管理部門的高度重視??紤]到PFECAs的環境分布和毒理數據十分匱乏,未來將通過進一步的野外調查分析,結合實驗室暴露模擬數據,明確新型PFECAs對水生生物的生態風險和對居民的健康風險,以降低化學品對生態系統和暴露人群的健康風險。
相關研究論文發表在Environmental Science & Technology上 (DOI: 10.1021/acs.est.1c00965),中國科學院煙臺海岸帶研究所博士生李亞楠為論文的第一作者,上海交通大學環境學院潘奕陶副教授和中國科學院煙臺海岸帶研究所唐建輝研究員為共同通訊作者。本研究受國家自然科學基金委-山東省聯合基金(U1806207)、國家自然科學基金委面上基金(41773138和41977326)以及中國科學院煙臺海岸帶研究所自主部署項目(Y855011023 and Y855011024)資助。
論文鏈接:
Li Y N, Yao J Z, Zhang J, Pan Y T, Dai JY, Ji CL, and Tang J H. First report on the bioaccumulation and trophic transfer of perfluoroalkyl ether carboxylic acids in estuarine food web. Environmental Science & Technology, 2022, 56, 10, 6046-6055.
https://doi.org/10.1021/acs.est.1c00965