通過各種各樣的熱力學非平衡過程(快速淬火、物理或者化學氣相沉積、電沉積以及球磨等手段),可以形成過飽和固溶體從而調控金屬材料的性能,但過飽和固溶體在熱力學上處于不穩定狀態,在加熱或者塑性變形時,它將分解成熱力學穩定相以降低體系的自由能。長久以來,穩定過飽和固溶體以防止其分解是十分有挑戰性的,尤其是在具有互溶間隙的合金體系中,相分解將通過上坡擴散主導的調幅分解機制自發進行。
大量研究表明,塑性變形誘導的晶粒細化在材料內部引入高密度的晶界、空位和位錯等缺陷,這些缺陷作為擴散的通道,會加劇原子擴散。在晶粒被充分細化的金屬和合金中,包括晶粒長大、第二相析出以及調幅分解在內的各種擴散過程被顯著促進,這些現象在晶粒尺寸處于亞微米尺度的金屬和合金中尤為顯著。
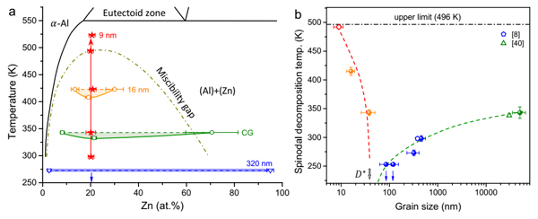
近期,中國科學院金屬研究所沈陽材料科學國家研究中心納米金屬科學家工作室在這一科學難題研究方面取得新突破。研究團隊利用自主研發的低溫塑性變形技術,將成分位于互溶間隙內的過飽和Al-21.7at%Zn合金的晶粒尺寸細化至10 nm以下并獲得受限晶體結構。研究發現,單相過飽和固溶體結構受限晶體Al-21.7at%Zn合金具有極高的結構穩定性,其在互溶間隙溫度范圍內的調幅分解行為被完全抑制。此現象源于平均曲率為零的三維極小面界面結構以及極小尺寸晶粒內空位缺失同時抑制了置換式固溶體原子的晶間擴散和晶格擴散。此發現表明受限晶體結構可以有效抑制合金中各種由擴散控制的相變過程,進一步證明了這種新型亞穩結構在金屬材料中的普適性,為提高過飽和固溶體穩定性以及發展高性能金屬材料具有重要意義。
相關研究成果以“Stabilizing Supersaturation with Extreme Grain Refinement in Spinodal Aluminum Alloys”為題于6月5日在《先進材料》(Advanced Materials)期刊在線發表。沈陽材料科學國家研究中心徐偉副研究員、博士生鐘一鳴為共同第一作者,盧柯研究員、李秀艷研究員為通訊作者。
上述工作得到了國家重點研發計劃、國家自然科學基金以及中國科協青年人才托舉工程等項目的支持。
DOI:10.1002/adma.202303650

圖1.通過極端晶粒細化抑制調幅分解